Официальное опубликование правовых актов
ОФИЦИАЛЬНОЕ ОПУБЛИКОВАНИЕ
Постановление Главного управления архитектуры и градостроительства Рязанской области от 27.05.2022 № 275-п
"Об утверждении правил землепользования и застройки муниципального образования – Новоберезовское сельское поселение Сасовского муниципального района Рязанской области"
Номер опубликования: 6201202205300007
Дата опубликования: 30.05.2022
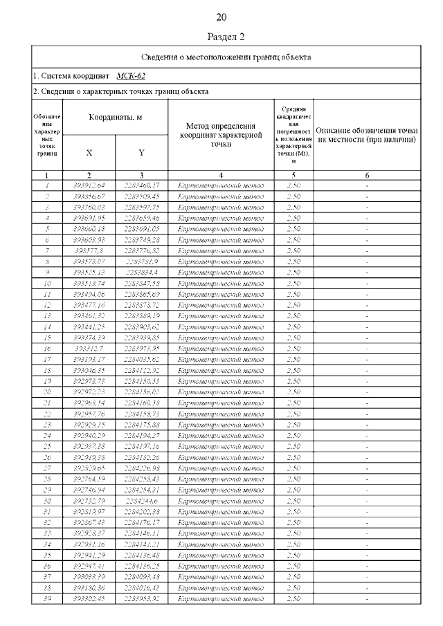
Страница №50 из 80:
Увеличить