Официальное опубликование правовых актов
ОФИЦИАЛЬНОЕ ОПУБЛИКОВАНИЕ
Постановление Главного управления архитектуры и градостроительства Рязанской области от 27.05.2022 № 276-п
"Об утверждении изменений в генеральный план муниципального образования – Чурилковское сельское поселение Рыбновского муниципального района Рязанской области"
Номер опубликования: 6201202205300008
Дата опубликования: 30.05.2022
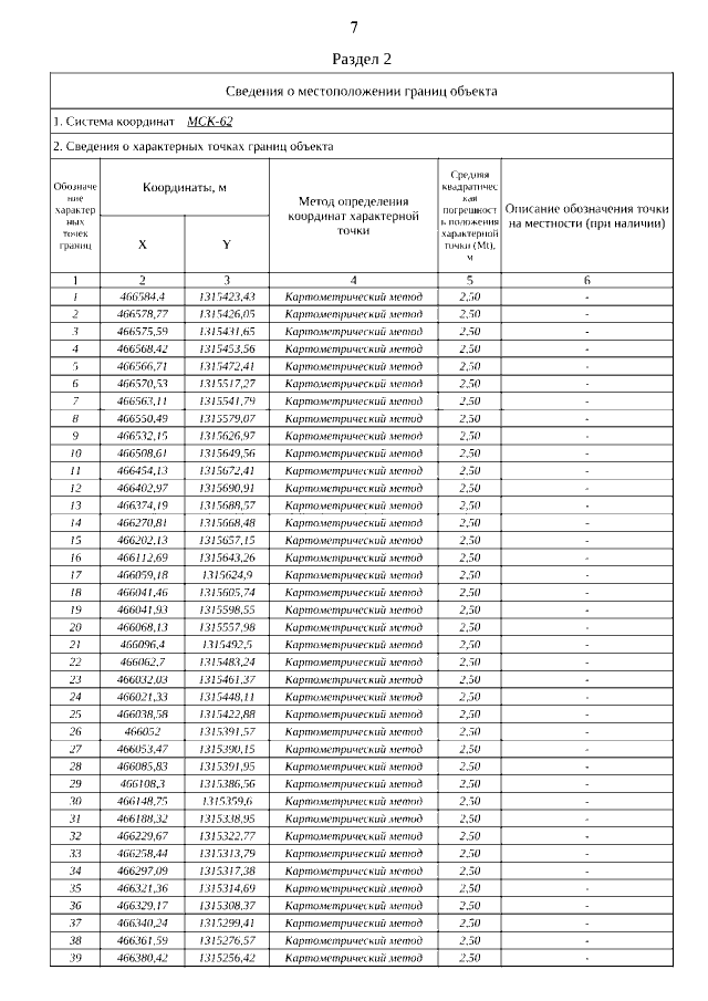
Страница №20 из 50:
Увеличить