Официальное опубликование правовых актов
ОФИЦИАЛЬНОЕ ОПУБЛИКОВАНИЕ
Постановление Главного управления архитектуры и градостроительства Рязанской области от 30.05.2022 № 277-п
"Об утверждении правил землепользования и застройки муниципального образования – Елатомское городское поселение Касимовского муниципального района Рязанской области"
Номер опубликования: 6201202205310005
Дата опубликования: 31.05.2022
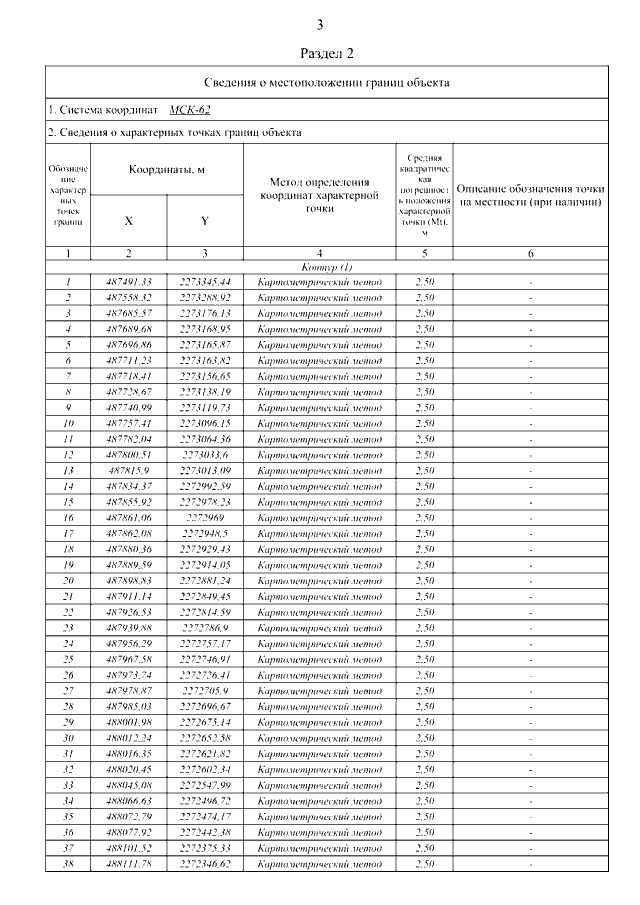
Страница №41 из 198:
Увеличить