Постановление Главного управления ветеринарии Рязанской области от 30.05.2022 № 28
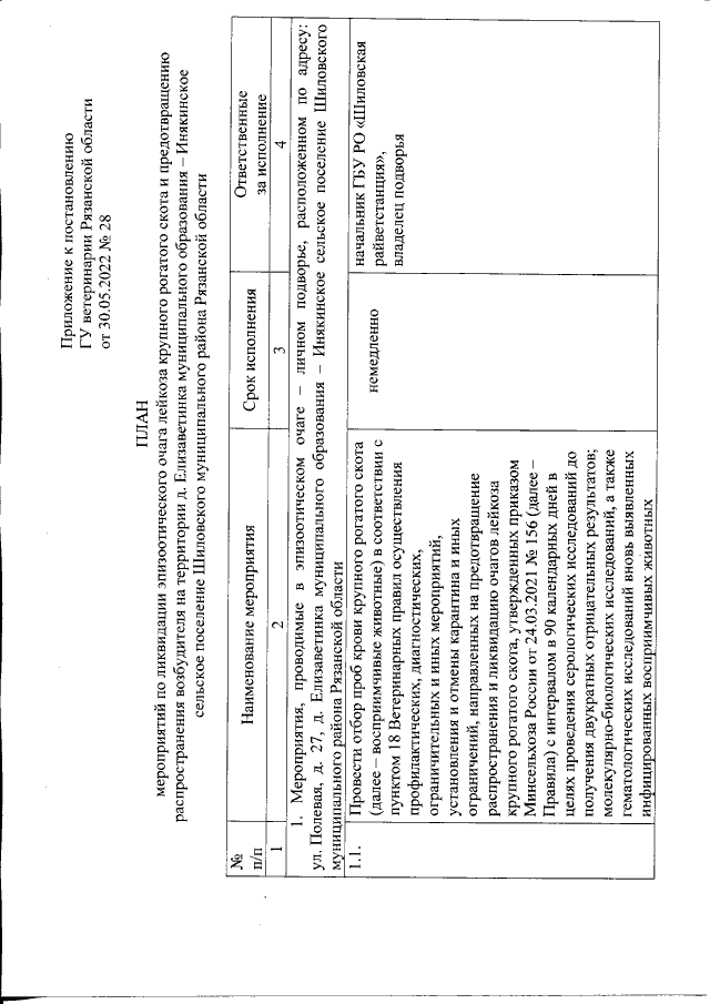
"Об установлении ограничительных мероприятий (карантина) по лейкозу крупного рогатого скота на территории муниципального образования – Шиловский муниципальный район Рязанской области"
"Об установлении ограничительных мероприятий (карантина) по лейкозу крупного рогатого скота на территории муниципального образования – Шиловский муниципальный район Рязанской области"
Номер опубликования: 6201202205310006
Дата опубликования:
31.05.2022
