Официальное опубликование правовых актов
ОФИЦИАЛЬНОЕ ОПУБЛИКОВАНИЕ
Постановление Главного управления архитектуры и градостроительства Рязанской области от 31.05.2022 № 278-п
"Об утверждении генерального плана муниципального образования – Батьковское сельское поселение Сасовского муниципального района Рязанской области"
Номер опубликования: 6201202206010001
Дата опубликования: 01.06.2022
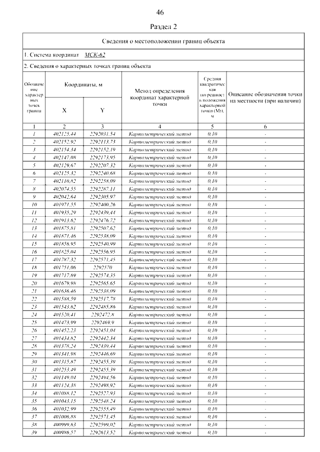
Страница №57 из 59:
Увеличить