Официальное опубликование правовых актов
ОФИЦИАЛЬНОЕ ОПУБЛИКОВАНИЕ
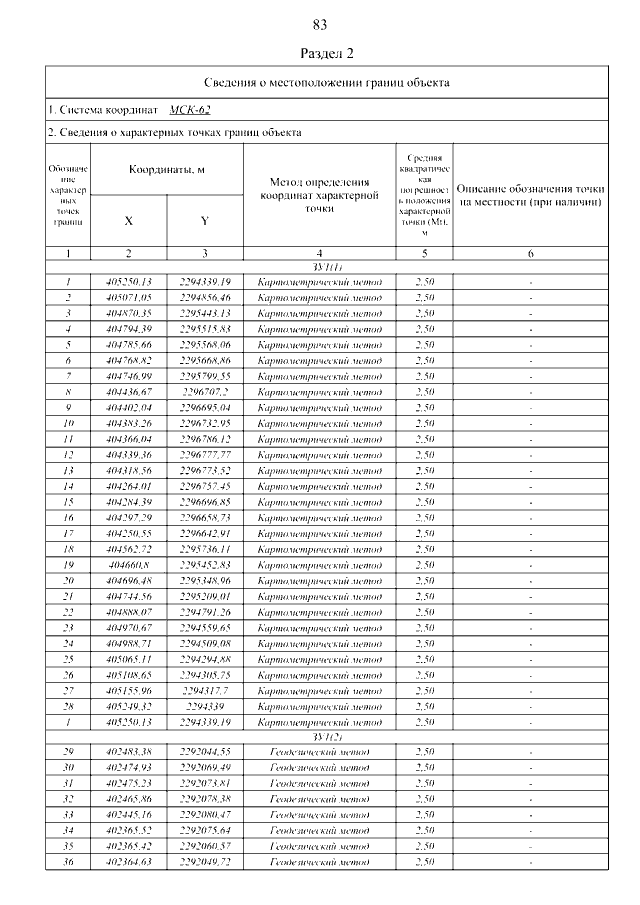
Постановление Главного управления архитектуры и градостроительства Рязанской области от 31.05.2022 № 282-п
"Об утверждении правил землепользования и застройки муниципального образования – Батьковское сельское поселение Сасовского муниципального района Рязанской области"
Номер опубликования: 6201202206020001
Дата опубликования: 02.06.2022
Страница №123 из 280:
Увеличить