Официальное опубликование правовых актов
ОФИЦИАЛЬНОЕ ОПУБЛИКОВАНИЕ
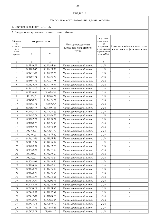
Постановление Главного управления архитектуры и градостроительства Рязанской области от 31.05.2022 № 281-п
"Об утверждении правил землепользования и застройки муниципального образования – Погореловское сельское поселение Пронского муниципального района Рязанской области"
Номер опубликования: 6201202206020006
Дата опубликования: 02.06.2022
Страница №122 из 424:
Увеличить