Официальное опубликование правовых актов
ОФИЦИАЛЬНОЕ ОПУБЛИКОВАНИЕ
Постановление Главного управления архитектуры и градостроительства Рязанской области от 20.06.2022 № 329-п
"Об утверждении правил землепользования и застройки муниципального образования – Савватемское сельское поселение Ермишинского муниципального района Рязанской области"
Номер опубликования: 6201202206210001
Дата опубликования: 21.06.2022
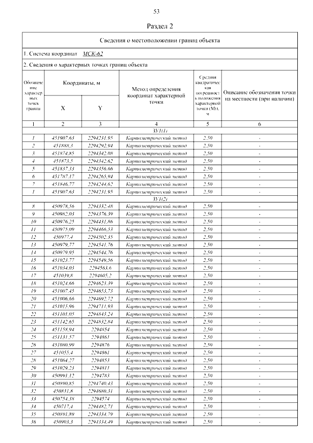
Страница №85 из 214:
Увеличить