Официальное опубликование правовых актов
ОФИЦИАЛЬНОЕ ОПУБЛИКОВАНИЕ
Постановление Главного управления архитектуры и градостроительства Рязанской области от 21.06.2022 № 334-п
"Об утверждении правил землепользования и застройки муниципального образования – Лесно-Полянское сельское поселение Шацкого муниципального района Рязанской области"
Номер опубликования: 6201202206230010
Дата опубликования: 23.06.2022
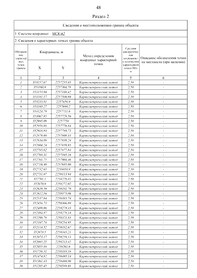
Страница №74 из 371:
Увеличить