Официальное опубликование правовых актов
ОФИЦИАЛЬНОЕ ОПУБЛИКОВАНИЕ
Постановление Главного управления архитектуры и градостроительства Рязанской области от 21.06.2022 № 330-п
"Об утверждении генерального плана муниципального образования – Лесно-Полянское сельское поселение Шацкого муниципального района Рязанской области"
Номер опубликования: 6201202206230011
Дата опубликования: 23.06.2022
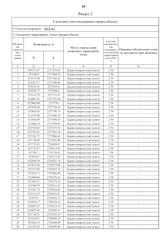
Страница №58 из 61:
Увеличить