Официальное опубликование правовых актов
ОФИЦИАЛЬНОЕ ОПУБЛИКОВАНИЕ
Постановление Главного управления "Региональная энергетическая комиссия" Рязанской области от 29.06.2022 № 37
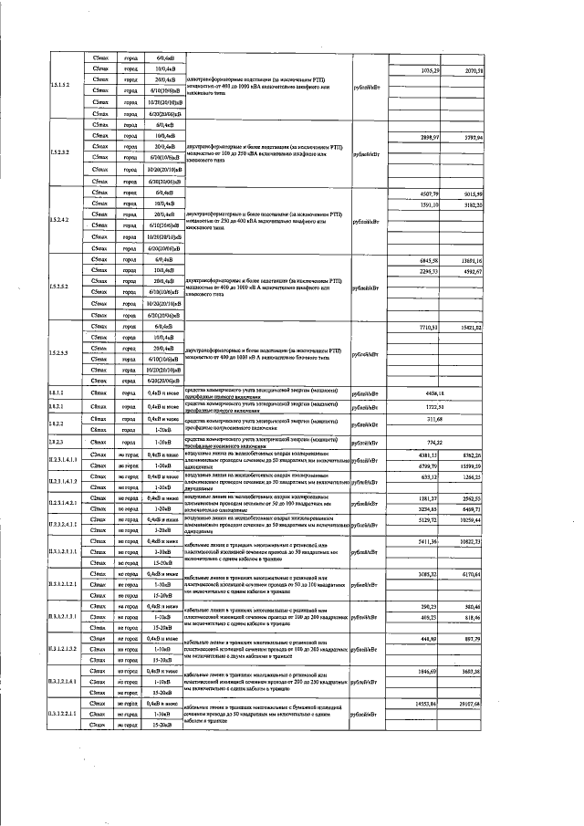
"О внесении изменений в постановление ГУ РЭК Рязанской области от 24 декабря 2021 г. № 374 "Об установлении стандартизированных тарифных ставок, формул расчета платы за технологическое присоединение и ставок за единицу максимальной мощности для применения при расчете платы за технологическое присоединение на территории Рязанской области"
Номер опубликования: 6201202206300003
Дата опубликования: 30.06.2022
Страница №12 из 14:
Увеличить