Официальное опубликование правовых актов
ОФИЦИАЛЬНОЕ ОПУБЛИКОВАНИЕ
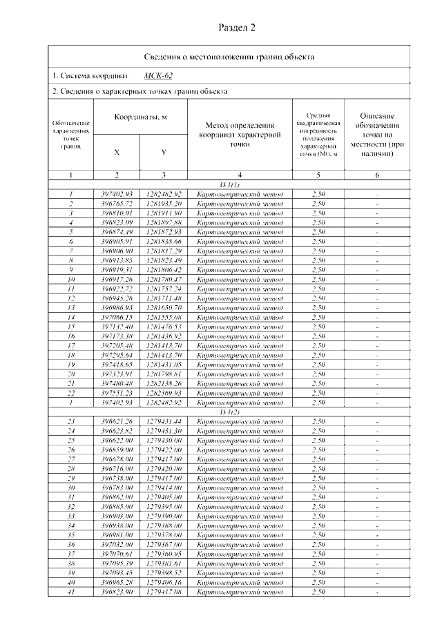
Постановление Главного управления архитектуры и градостроительства Рязанской области от 30.06.2022 № 358-п
"Об утверждении правил землепользования и застройки муниципального образования – Стрелецко-Высельское сельское поселение Михайловского муниципального района Рязанской области"
Номер опубликования: 6201202207040001
Дата опубликования: 04.07.2022
Страница №110 из 156:
Увеличить