Официальное опубликование правовых актов
ОФИЦИАЛЬНОЕ ОПУБЛИКОВАНИЕ
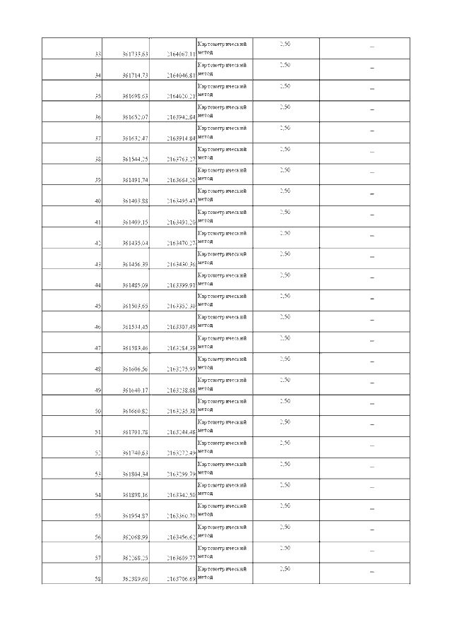
Постановление Главного управления архитектуры и градостроительства Рязанской области от 06.07.2022 № 365-п
"Об утверждении генерального плана муниципального образования – Кипчаковское сельское поселение Кораблинского муниципального района Рязанской области"
Номер опубликования: 6201202207110001
Дата опубликования: 11.07.2022
Страница №62 из 96:
Увеличить