Официальное опубликование правовых актов
ОФИЦИАЛЬНОЕ ОПУБЛИКОВАНИЕ
Постановление Главного управления архитектуры и градостроительства Рязанской области от 14.07.2022 № 391-п
"Об утверждении документации по планировке территории для размещения линейного объекта: "Газопровод межпоселковый д. Красное Михайловского района Рязанской области"
Номер опубликования: 6201202207150011
Дата опубликования: 15.07.2022
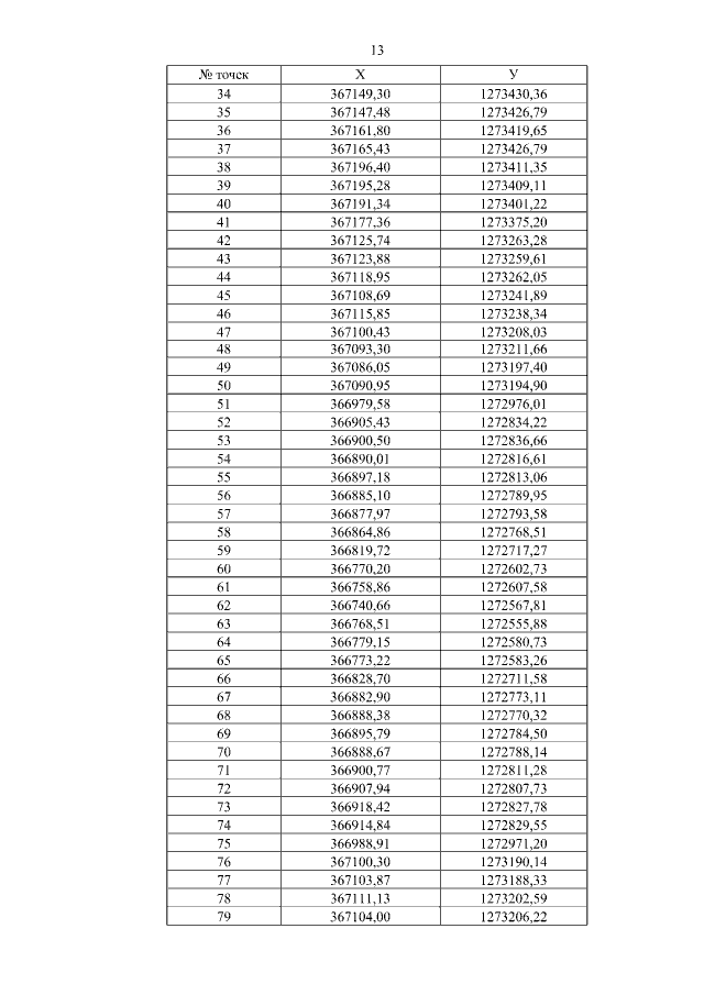
Страница №15 из 31:
Увеличить