Официальное опубликование правовых актов
ОФИЦИАЛЬНОЕ ОПУБЛИКОВАНИЕ
Постановление Главного управления архитектуры и градостроительства Рязанской области от 14.07.2022 № 389-п
"Об утверждении правил землепользования и застройки муниципального образования – Печинское сельское поселение Шацкого муниципального района Рязанской области"
Номер опубликования: 6201202207150012
Дата опубликования: 15.07.2022
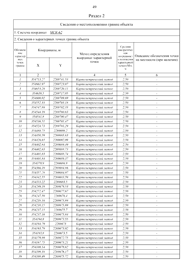
Страница №76 из 147:
Увеличить