Официальное опубликование правовых актов
ОФИЦИАЛЬНОЕ ОПУБЛИКОВАНИЕ
Постановление Главного управления архитектуры и градостроительства Рязанской области от 21.07.2022 № 404-п
"Об утверждении генерального плана муниципального образования – Листвянское сельское поселение Рязанского муниципального района Рязанской области"
Номер опубликования: 6201202207220001
Дата опубликования: 22.07.2022
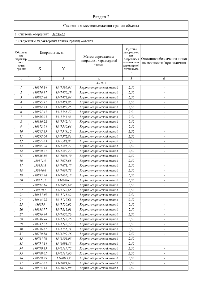
Страница №35 из 66:
Увеличить