Официальное опубликование правовых актов
ОФИЦИАЛЬНОЕ ОПУБЛИКОВАНИЕ
Постановление Главного управления архитектуры и градостроительства Рязанской области от 22.07.2022 № 405-п
"Об утверждении правил землепользования и застройки муниципального образования – Листвянское сельское поселение Рязанского муниципального района Рязанской области"
Номер опубликования: 6201202207250004
Дата опубликования: 25.07.2022
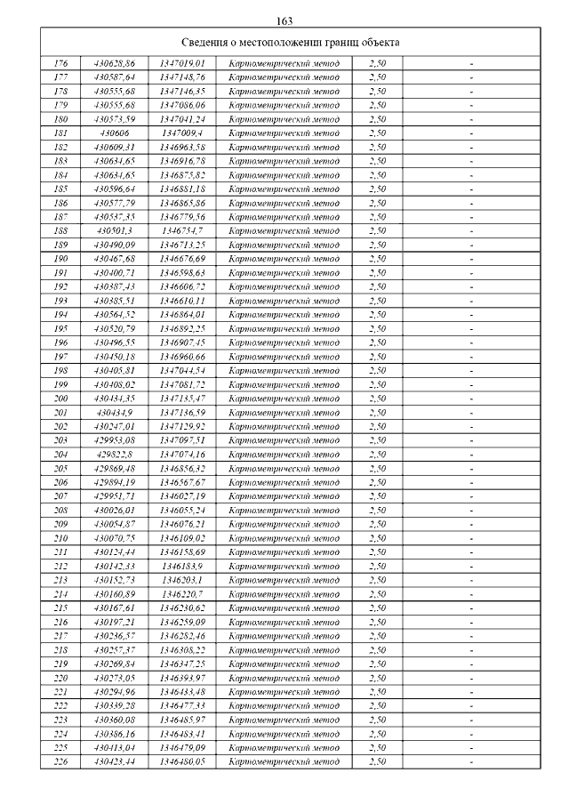
Страница №205 из 316:
Увеличить