Официальное опубликование правовых актов
ОФИЦИАЛЬНОЕ ОПУБЛИКОВАНИЕ
Постановление Главного управления архитектуры и градостроительства Рязанской области от 02.08.2022 № 412-п
"Об утверждении правил землепользования и застройки муниципального образования – Кучасьевское сельское поселение Шацкого муниципального района Рязанской области"
Номер опубликования: 6201202208030004
Дата опубликования: 03.08.2022
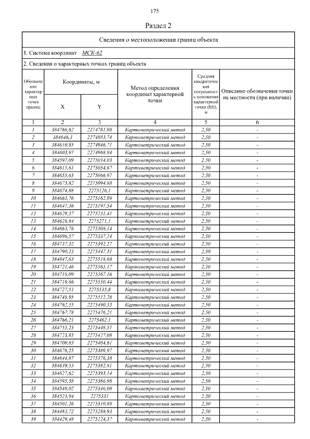
Страница №209 из 221:
Увеличить