Официальное опубликование правовых актов
ОФИЦИАЛЬНОЕ ОПУБЛИКОВАНИЕ
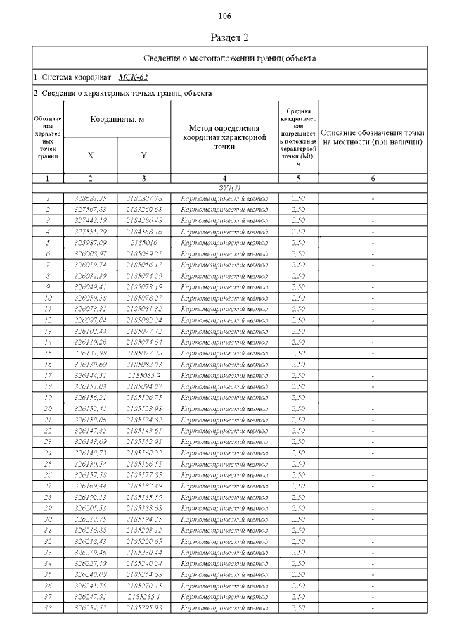
Постановление Главного управления архитектуры и градостроительства Рязанской области от 04.08.2022 № 421-п
"Об утверждении правил землепользования и застройки муниципального образования – Просеченское сельское поселение Александро-Невского муниципального района Рязанской области"
Номер опубликования: 6201202208080001
Дата опубликования: 08.08.2022
Страница №137 из 183:
Увеличить