Официальное опубликование правовых актов
ОФИЦИАЛЬНОЕ ОПУБЛИКОВАНИЕ
Постановление Главного управления архитектуры и градостроительства Рязанской области от 30.08.2022 № 470-п
"Об утверждении изменений в правила землепользования и застройки муниципального образования – Михайловское городское поселение Михайловского муниципального района Рязанской области"
Номер опубликования: 6201202209010003
Дата опубликования: 01.09.2022
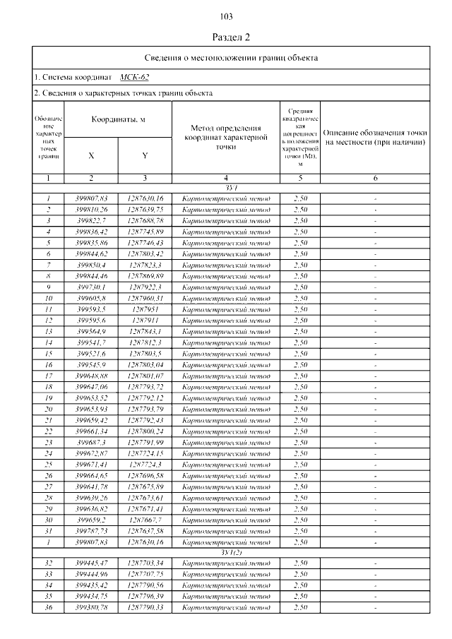
Страница №105 из 231:
Увеличить