Официальное опубликование правовых актов
ОФИЦИАЛЬНОЕ ОПУБЛИКОВАНИЕ
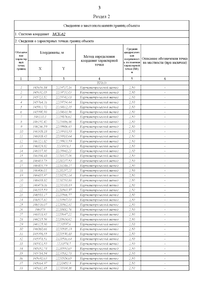
Постановление Главного управления архитектуры и градостроительства Рязанской области от 06.09.2022 № 476-п
"Об утверждении правил землепользования и застройки муниципального образования – Сараевское городское поселение Сараевского муниципального района Рязанской области"
Номер опубликования: 6201202209080002
Дата опубликования: 08.09.2022
Страница №39 из 216:
Увеличить