Официальное опубликование правовых актов
ОФИЦИАЛЬНОЕ ОПУБЛИКОВАНИЕ
Постановление Главного управления архитектуры и градостроительства Рязанской области от 15.09.2022 № 515-п
"Об утверждении генерального плана муниципального образования – Ямбирнское сельское поселение Шацкого муниципального района Рязанской области"
Номер опубликования: 6201202209190002
Дата опубликования: 19.09.2022
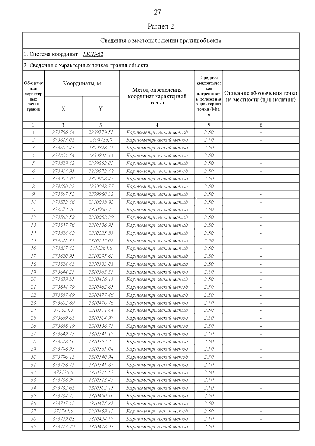
Страница №37 из 49:
Увеличить