Официальное опубликование правовых актов
ОФИЦИАЛЬНОЕ ОПУБЛИКОВАНИЕ
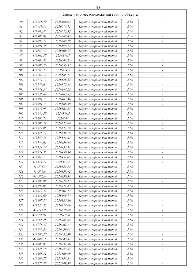
Постановление Главного управления архитектуры и градостроительства Рязанской области от 16.09.2022 № 516-п
"Об утверждении генерального плана муниципального образования – Инякинское сельское поселение Шиловского муниципального района Рязанской области"
Номер опубликования: 6201202209190003
Дата опубликования: 19.09.2022
Страница №45 из 89:
Увеличить