Официальное опубликование правовых актов
ОФИЦИАЛЬНОЕ ОПУБЛИКОВАНИЕ
Постановление Главного управления архитектуры и градостроительства Рязанской области от 16.09.2022 № 517-п
"Об утверждении правил землепользования и застройки муниципального образования – Инякинское сельское поселение Шиловского муниципального района Рязанской области"
Номер опубликования: 6201202209190004
Дата опубликования: 19.09.2022
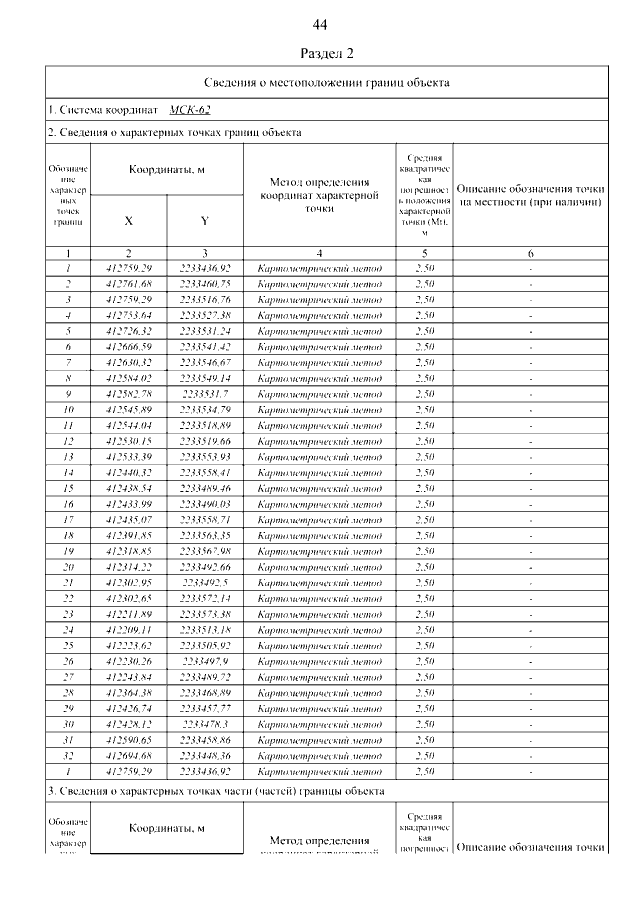
Страница №77 из 466:
Увеличить