Официальное опубликование правовых актов
ОФИЦИАЛЬНОЕ ОПУБЛИКОВАНИЕ
Постановление Главного управления архитектуры и градостроительства Рязанской области от 16.09.2022 № 520-п
"Об утверждении правил землепользования и застройки муниципального образования – городской округ город Скопин Рязанской области"
Номер опубликования: 6201202209200001
Дата опубликования: 20.09.2022
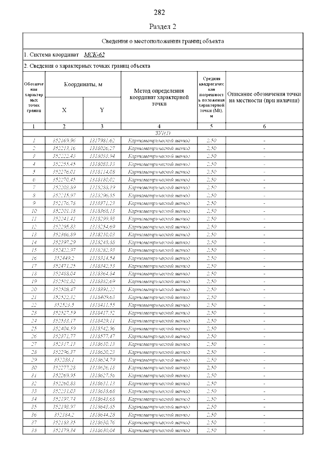
Страница №325 из 436:
Увеличить