Официальное опубликование правовых актов
ОФИЦИАЛЬНОЕ ОПУБЛИКОВАНИЕ
Постановление Главного управления архитектуры и градостроительства Рязанской области от 16.09.2022 № 519-п
"Об утверждении изменений в генеральный план муниципального образования – городской округ город Скопин Рязанской области"
Номер опубликования: 6201202209200003
Дата опубликования: 20.09.2022
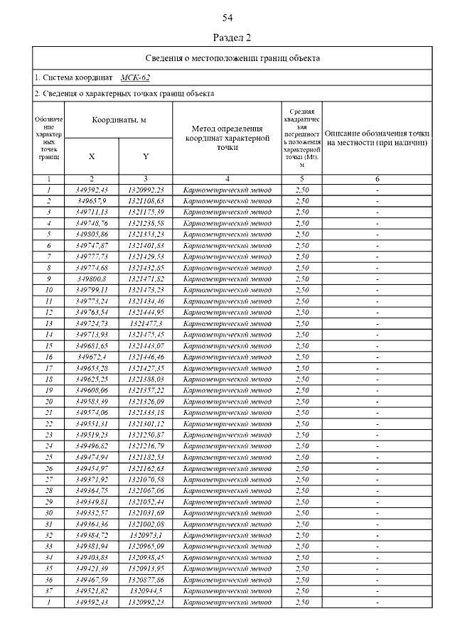
Страница №67 из 73:
Увеличить