Официальное опубликование правовых актов
ОФИЦИАЛЬНОЕ ОПУБЛИКОВАНИЕ
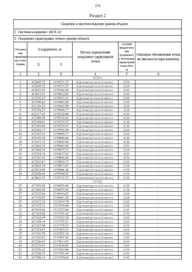
Постановление Главного управления архитектуры и градостроительства Рязанской области от 20.09.2022 № 523-п
"Об утверждении изменений в правила землепользования и застройки муниципального образования – Искровское сельское поселение Рязанского муниципального района Рязанской области"
Номер опубликования: 6201202209210003
Дата опубликования: 21.09.2022
Страница №160 из 228:
Увеличить