Официальное опубликование правовых актов
ОФИЦИАЛЬНОЕ ОПУБЛИКОВАНИЕ
Постановление Главного управления архитектуры и градостроительства Рязанской области от 23.09.2022 № 535-п
"Об утверждении генерального плана муниципального образования – Горловское сельское поселение Скопинского муниципального района Рязанской области"
Номер опубликования: 6201202209270002
Дата опубликования: 27.09.2022
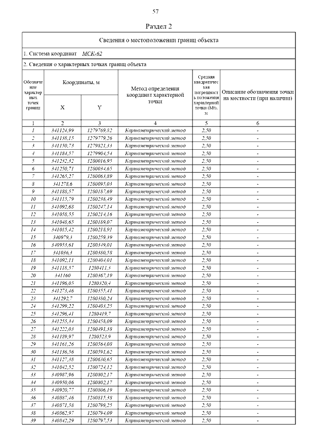
Страница №68 из 119:
Увеличить