Официальное опубликование правовых актов
ОФИЦИАЛЬНОЕ ОПУБЛИКОВАНИЕ
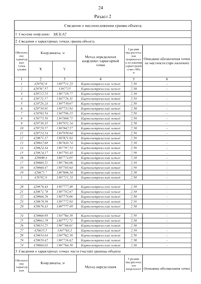
Постановление Главного управления архитектуры и градостроительства Рязанской области от 27.09.2022 № 545-п
"Об утверждении изменений в правила землепользования и застройки муниципального образования – Елинское сельское поселение Захаровского муниципального района Рязанской области"
Номер опубликования: 6201202209280007
Дата опубликования: 28.09.2022
Страница №61 из 116:
Увеличить