Официальное опубликование правовых актов
ОФИЦИАЛЬНОЕ ОПУБЛИКОВАНИЕ
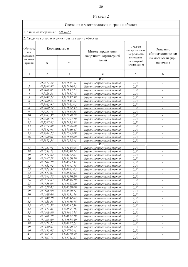
Постановление Главного управления архитектуры и градостроительства Рязанской области от 05.10.2022 № 572-п
"Об утверждении изменений в правила землепользования и застройки муниципального образования – Полянское сельское поселение Рязанского муниципального района Рязанской области"
Номер опубликования: 6201202210060003
Дата опубликования: 06.10.2022
Страница №24 из 27:
Увеличить