Официальное опубликование правовых актов
ОФИЦИАЛЬНОЕ ОПУБЛИКОВАНИЕ
Постановление Главного управления архитектуры и градостроительства Рязанской области от 13.10.2022 № 577-п
"Об утверждении правил землепользования и застройки муниципального образования – Выжелесское сельское поселение Спасского муниципального района Рязанской области"
Номер опубликования: 6201202210140002
Дата опубликования: 14.10.2022
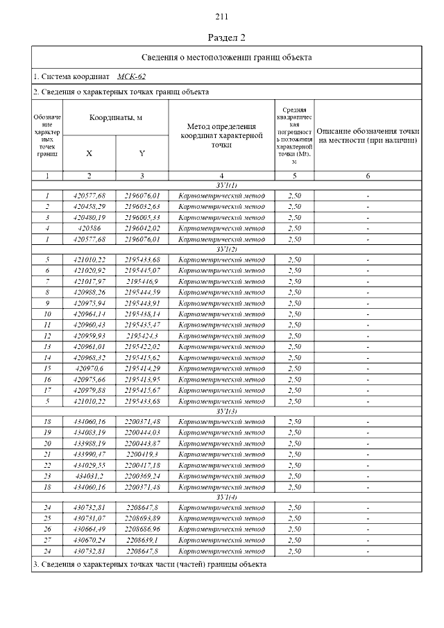
Страница №242 из 245:
Увеличить