Официальное опубликование правовых актов
ОФИЦИАЛЬНОЕ ОПУБЛИКОВАНИЕ
Постановление Главного управления архитектуры и градостроительства Рязанской области от 21.10.2022 № 589-п
"Об утверждении правил землепользования и застройки муниципального образования – Придорожное сельское поселение Сасовского муниципального района Рязанской области"
Номер опубликования: 6201202210270004
Дата опубликования: 27.10.2022
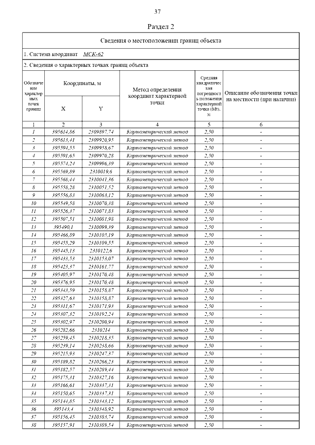
Страница №65 из 327:
Увеличить