Официальное опубликование правовых актов
ОФИЦИАЛЬНОЕ ОПУБЛИКОВАНИЕ
Постановление Главного управления архитектуры и градостроительства Рязанской области от 25.10.2022 № 594-п
"Об утверждении правил землепользования и застройки муниципального образования – Кипчаковское сельское поселение Кораблинского муниципального района Рязанской области"
Номер опубликования: 6201202210270015
Дата опубликования: 27.10.2022
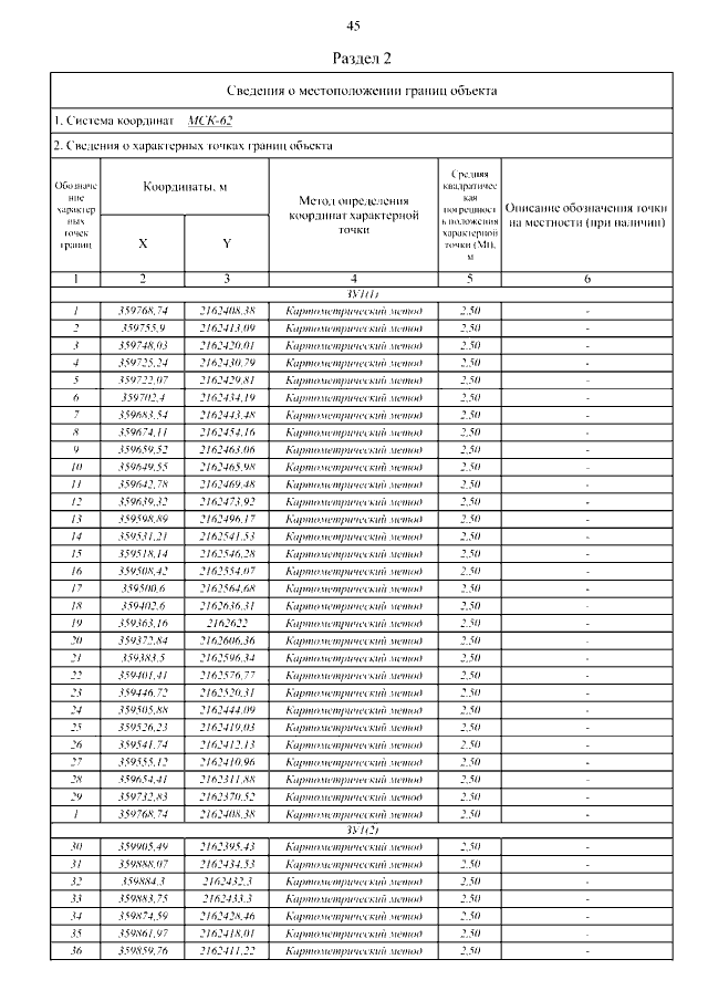
Страница №81 из 262:
Увеличить