Официальное опубликование правовых актов
ОФИЦИАЛЬНОЕ ОПУБЛИКОВАНИЕ
Постановление Главного управления архитектуры и градостроительства Рязанской области от 27.10.2022 № 607-п
"Об утверждении правил землепользования и застройки муниципального образования – Льговское сельское поселение Рязанского муниципального района Рязанской области"
Номер опубликования: 6201202210310004
Дата опубликования: 31.10.2022
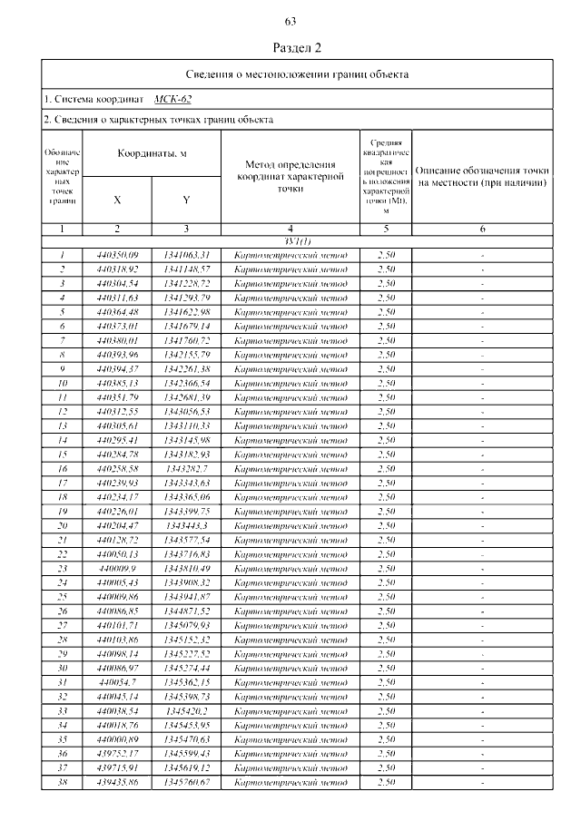
Страница №106 из 172:
Увеличить