Официальное опубликование правовых актов
ОФИЦИАЛЬНОЕ ОПУБЛИКОВАНИЕ
Постановление Главного управления архитектуры и градостроительства Рязанской области от 08.11.2022 № 646-п
"Об утверждении правил землепользования и застройки муниципального образования – Желудевское сельское поселение Шиловского муниципального района Рязанской области"
Номер опубликования: 6201202211100001
Дата опубликования: 10.11.2022
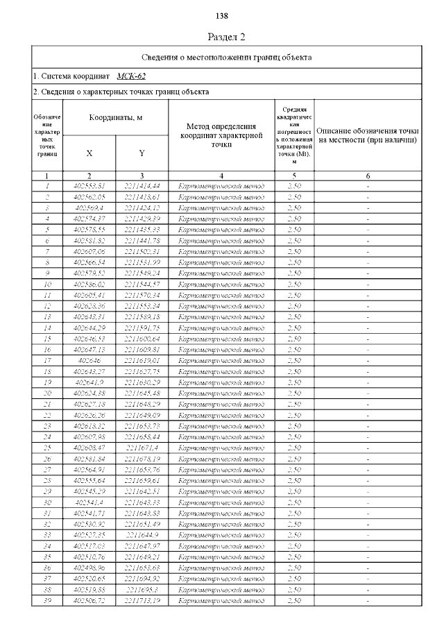
Страница №169 из 181:
Увеличить