Официальное опубликование правовых актов
ОФИЦИАЛЬНОЕ ОПУБЛИКОВАНИЕ
Постановление Главного управления архитектуры и градостроительства Рязанской области от 02.11.2022 № 627-п
"Об утверждении правил землепользования и застройки муниципального образования – Первинское сельское поселение Касимовского муниципального района Рязанской области"
Номер опубликования: 6201202211110016
Дата опубликования: 11.11.2022
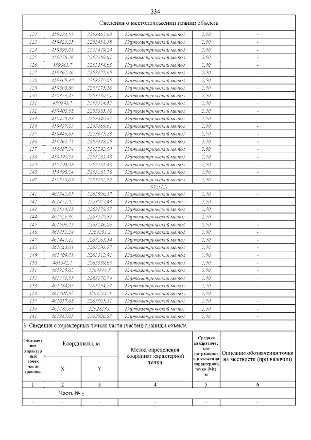
Страница №370 из 381:
Увеличить