Официальное опубликование правовых актов
ОФИЦИАЛЬНОЕ ОПУБЛИКОВАНИЕ
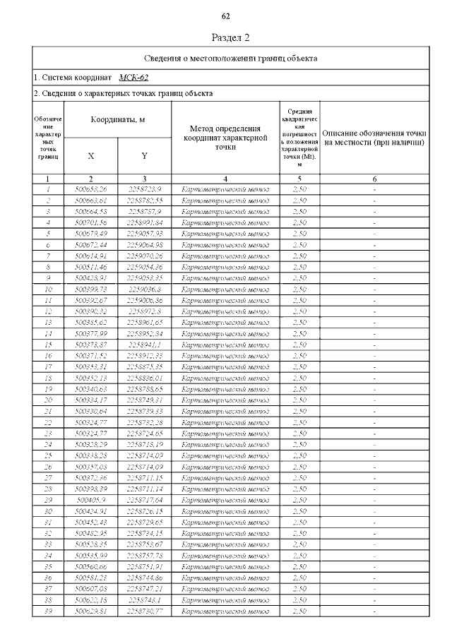
Постановление Главного управления архитектуры и градостроительства Рязанской области от 11.11.2022 № 662-п
"Об утверждении правил землепользования и застройки муниципального образования – Дмитриевское сельское поселение Касимовского муниципального района Рязанской области"
Номер опубликования: 6201202211160009
Дата опубликования: 16.11.2022
Страница №88 из 254:
Увеличить