Официальное опубликование правовых актов
ОФИЦИАЛЬНОЕ ОПУБЛИКОВАНИЕ
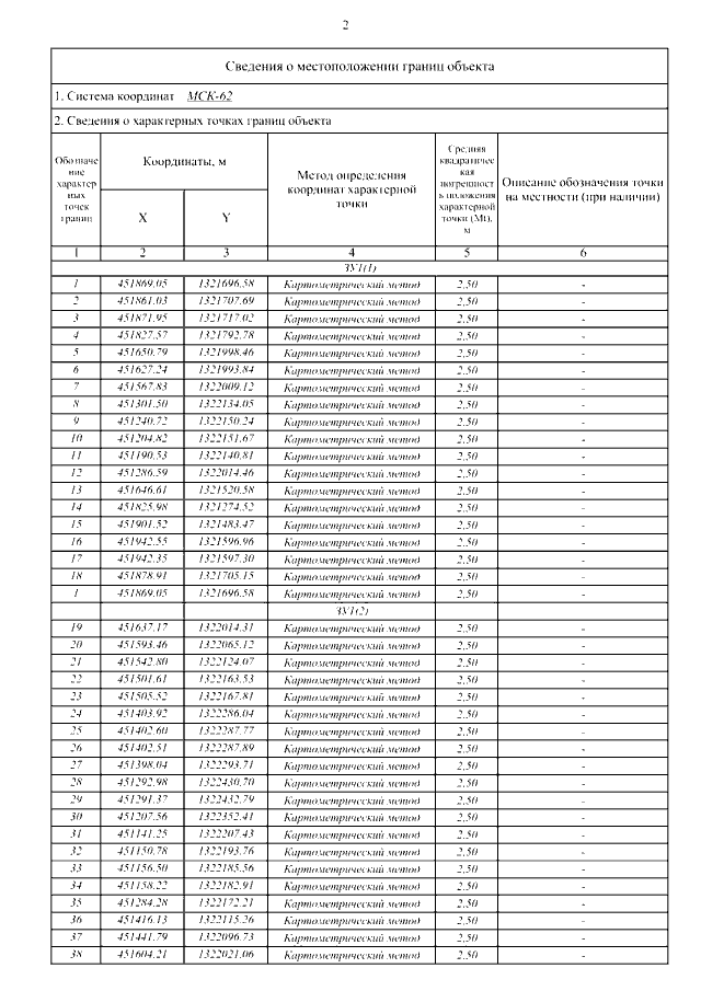
Постановление Главного управления архитектуры и градостроительства Рязанской области от 16.11.2022 № 680-п
"Об утверждении изменений в правила землепользования и застройки муниципального образования – Ходынинское сельское поселение Рыбновского муниципального района Рязанской области"
Номер опубликования: 6201202211180001
Дата опубликования: 18.11.2022
Страница №26 из 28:
Увеличить