Официальное опубликование правовых актов
ОФИЦИАЛЬНОЕ ОПУБЛИКОВАНИЕ
Постановление Главного управления архитектуры и градостроительства Рязанской области от 17.11.2022 № 685-п
"Об утверждении правил землепользования и застройки муниципального образования – Берестянское сельское поселение Сасовского муниципального района Рязанской области"
Номер опубликования: 6201202211210004
Дата опубликования: 21.11.2022
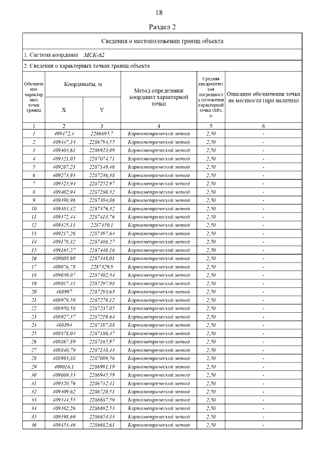
Страница №47 из 144:
Увеличить