Официальное опубликование правовых актов
ОФИЦИАЛЬНОЕ ОПУБЛИКОВАНИЕ
Постановление Главного управления архитектуры и градостроительства Рязанской области от 17.11.2022 № 689-п
"Об утверждении правил землепользования и застройки муниципального образования – Шостьинское сельское поселение Касимовского муниципального района Рязанской области"
Номер опубликования: 6201202211220002
Дата опубликования: 22.11.2022
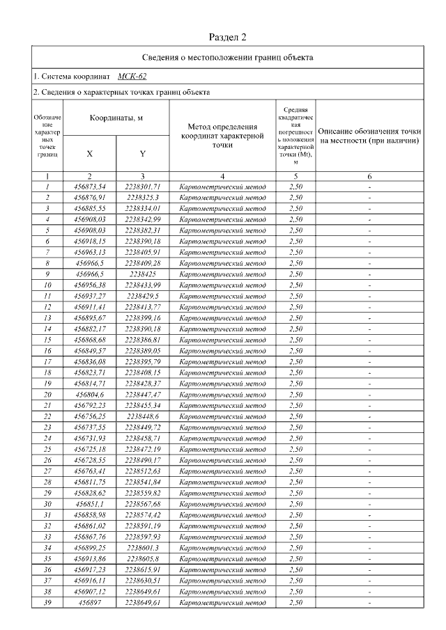
Страница №69 из 212:
Увеличить