Официальное опубликование правовых актов
ОФИЦИАЛЬНОЕ ОПУБЛИКОВАНИЕ
Постановление Главного управления архитектуры и градостроительства Рязанской области от 22.11.2022 № 706-п
"Об утверждении правил землепользования и застройки муниципального образования – Восходское сельское поселение Кадомского муниципального района Рязанской области"
Номер опубликования: 6201202211230008
Дата опубликования: 23.11.2022
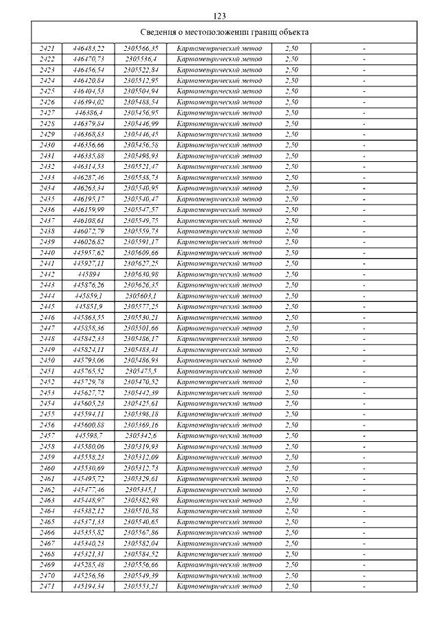
Страница №148 из 267:
Увеличить