Официальное опубликование правовых актов
ОФИЦИАЛЬНОЕ ОПУБЛИКОВАНИЕ
Постановление Главного управления "Региональная энергетическая комиссия" Рязанской области от 22.11.2022 № 107
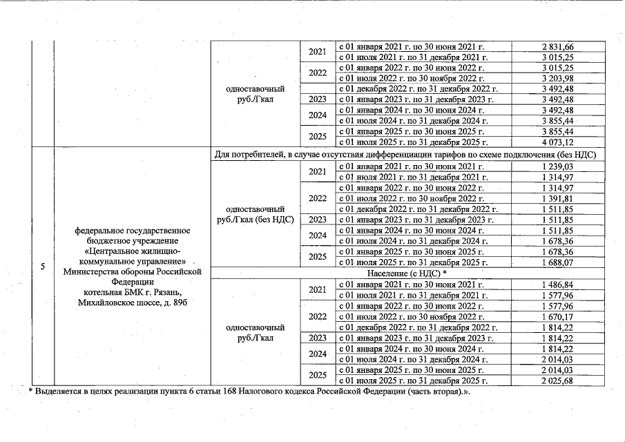
"О внесении изменения в постановление ГУ РЭК Рязанской области от 17 ноября 2020 г. № 118 "О тарифах на тепловую энергию для потребителей федерального государственного бюджетного учреждения "Центральное жилищно-коммунальное управление" Министерства обороны Российской Федерации на территории Рязанской области"
Номер опубликования: 6201202211240041
Дата опубликования: 24.11.2022
Страница №4 из 4:
Увеличить