Официальное опубликование правовых актов
ОФИЦИАЛЬНОЕ ОПУБЛИКОВАНИЕ
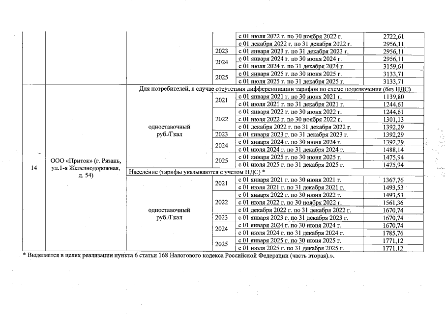
Постановление Главного управления "Региональная энергетическая комиссия" Рязанской области от 22.11.2022 № 120
"О внесении изменений в постановление ГУ РЭК Рязанской области от 17 декабря 2020 г. № 330 "О тарифах на тепловую энергию для потребителей Рязанской области на 2021-2025 годы"
Номер опубликования: 6201202211240054
Дата опубликования: 24.11.2022
Страница №10 из 10:
Увеличить