Официальное опубликование правовых актов
ОФИЦИАЛЬНОЕ ОПУБЛИКОВАНИЕ
Постановление Главного управления "Региональная энергетическая комиссия" Рязанской области от 24.11.2022 № 244
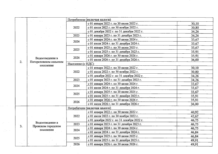
"О внесении изменений в постановление ГУ РЭК Рязанской области от 16 декабря 2021 г. № 256 "Об установлении тарифов на питьевую воду в сфере холодного водоснабжения, водоотведение для потребителей МКП "Пронские тепловые сети" в Малинищинском, Мамоновском, Погореловском, Октябрьском, Орловском, Тырновском сельских и Пронском городском поселениях Пронского муниципального района"
Номер опубликования: 6201202211280009
Дата опубликования: 28.11.2022
Страница №6 из 8:
Увеличить