Официальное опубликование правовых актов
ОФИЦИАЛЬНОЕ ОПУБЛИКОВАНИЕ
Постановление Главного управления "Региональная энергетическая комиссия" Рязанской области от 24.11.2022 № 232
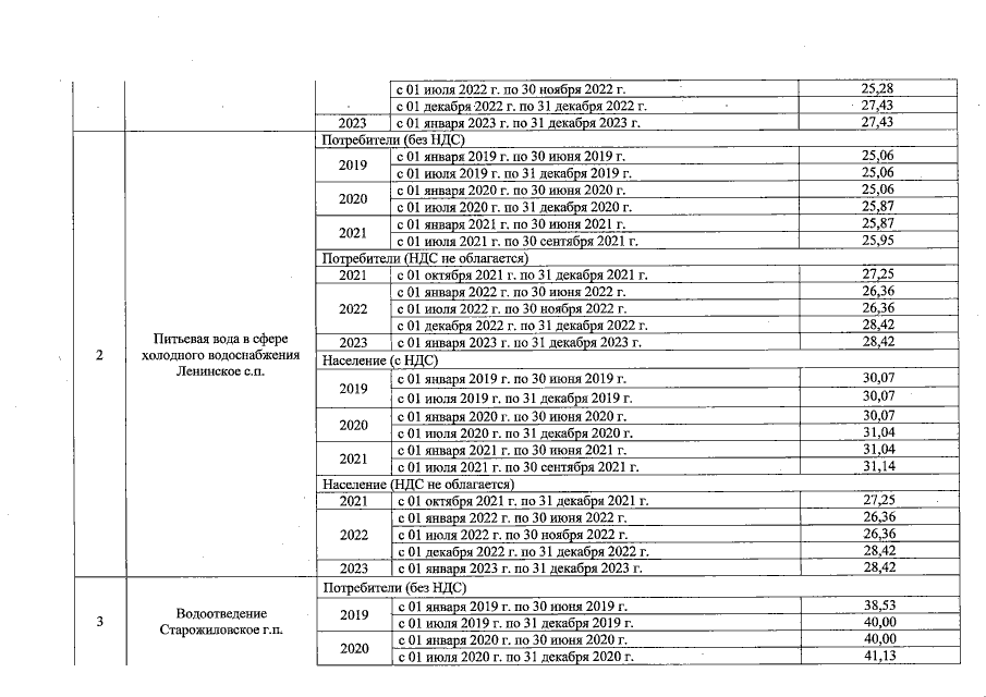
"О внесении изменений в постановление ГУ РЭК Рязанской области от 8 ноября 2018 г. № 129 "Об установлении тарифов на питьевую воду в сфере холодного водоснабжения, водоотведение для потребителей ООО "Старожиловское ЖКХ" в Старожиловском городском и Ленинском сельском поселениях Старожиловского муниципального района"
Номер опубликования: 6201202211280019
Дата опубликования: 28.11.2022
Страница №5 из 8:
Увеличить