Официальное опубликование правовых актов
ОФИЦИАЛЬНОЕ ОПУБЛИКОВАНИЕ
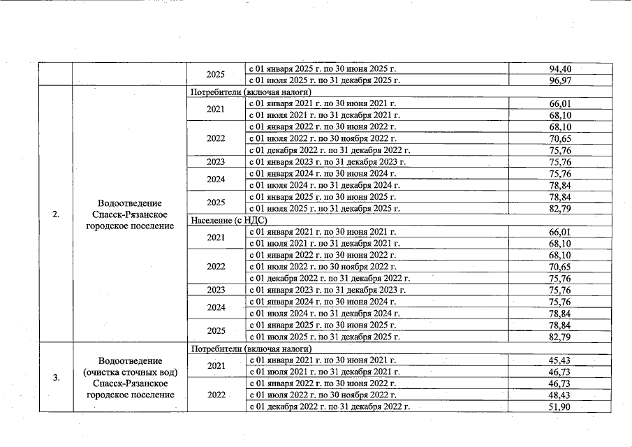
Постановление Главного управления "Региональная энергетическая комиссия" Рязанской области от 24.11.2022 № 260
"О внесении изменений в постановление ГУ РЭК Рязанской области от 3 декабря 2020 г. № 241 "Об установлении тарифов в сфере водоотведения для потребителей МКП "Водосток" Спасского муниципального района"
Номер опубликования: 6201202211280036
Дата опубликования: 28.11.2022
Страница №6 из 8:
Увеличить