Официальное опубликование правовых актов
ОФИЦИАЛЬНОЕ ОПУБЛИКОВАНИЕ
Постановление Главного управления архитектуры и градостроительства Рязанской области от 24.11.2022 № 714-п
"Об утверждении генерального плана муниципального образования – Дядьковское сельское поселение Рязанского муниципального района Рязанской области"
Номер опубликования: 6201202211280082
Дата опубликования: 28.11.2022
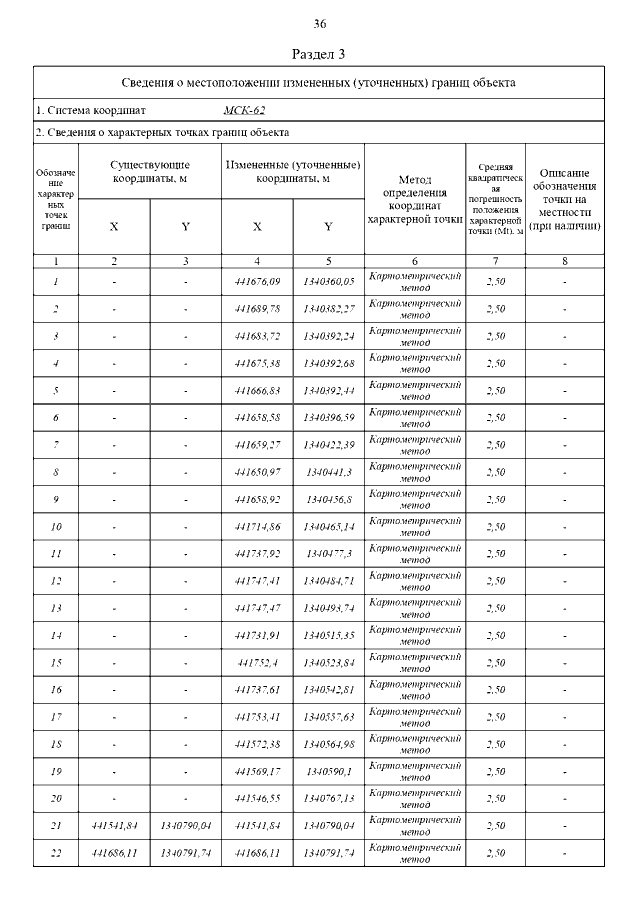
Страница №48 из 60:
Увеличить