Официальное опубликование правовых актов
ОФИЦИАЛЬНОЕ ОПУБЛИКОВАНИЕ
Постановление Главного управления архитектуры и градостроительства Рязанской области от 24.11.2022 № 718-п
"Об утверждении правил землепользования и застройки муниципального образования – Крутоярское сельское поселение Касимовского муниципального района Рязанской области"
Номер опубликования: 6201202211280104
Дата опубликования: 28.11.2022
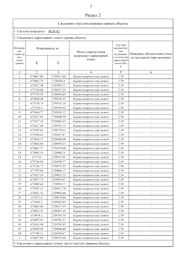
Страница №35 из 178:
Увеличить