Официальное опубликование правовых актов
ОФИЦИАЛЬНОЕ ОПУБЛИКОВАНИЕ
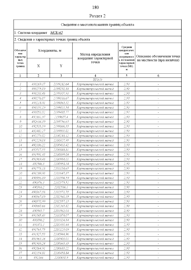
Постановление Главного управления архитектуры и градостроительства Рязанской области от 24.11.2022 № 717-п
"Об утверждении правил землепользования и застройки муниципального образования – Колесниковское сельское поселение Клепиковского муниципального района Рязанской области"
Номер опубликования: 6201202211280106
Дата опубликования: 28.11.2022
Страница №209 из 362:
Увеличить