Официальное опубликование правовых актов
ОФИЦИАЛЬНОЕ ОПУБЛИКОВАНИЕ
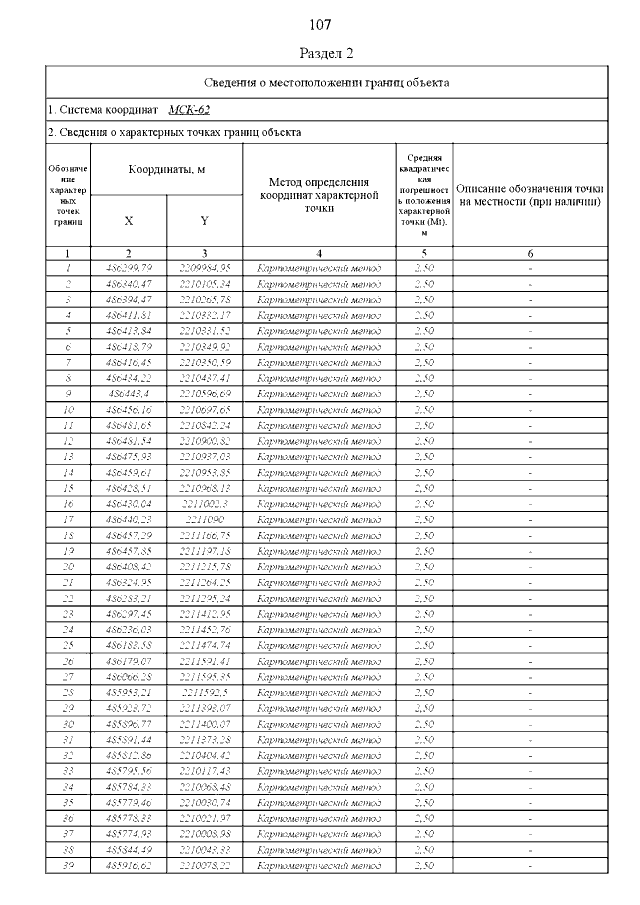
Постановление Главного управления архитектуры и градостроительства Рязанской области от 24.11.2022 № 716-п
"Об утверждении генерального плана муниципального образования – Колесниковское сельское поселение Клепиковского муниципального района Рязанской области"
Номер опубликования: 6201202211280108
Дата опубликования: 28.11.2022
Страница №116 из 141:
Увеличить